BA 1 2 3 4 5 6 7 8 9 10 11 12 13 14 15 16 17 18 19 20 21 22 23 24 25 26 27 28 29 30 31 32 33 34 35 BB 36 37 38 39 40 41 42 43 44 45 46 47 48 49 50 ZA 51 52 53 54 55 56 57 58 59 60 61 62 63 64 65 66 67 68 69 70 71 72 73 74 75 76 77 78 79 80 81 82 83 84 85 ZB 86 87 88 89 90 91 92 93 94 95 96 97 98 99 100 CA 101 102 103 104 105 106 107 108 109 110 111 112 113 114 115 116 117 118 119 120 121 122 123 124 125 126 127 128 129 130 131 132 133 134 135 CB 136 137 138 139 140 141 142 143 144 145 146 147 148 149 150 PA 151 152 153 154 155 156 157 158 159 160 161 162 163 164 165 166 167 168 169 170 171 172 173 174 175 176 177 178 179 180 181 182 183 184 185 PB 186 187 188 189 190 191 192 193 194 195 196 197 198 199 200

FULL TEST 02

BOTANY

Section-A

1.Choose correct option w.r.t origin and position of meristem reponsible for the regeneration of parts removed by the grazing herbivores.

Origin Position
(a) Secondary Lateral
(b) Primary Apical
(c) Secondary Apical
(d) Primary Intercalated

(a)
(b)
(c)
(d)

2.Which one of the following is a long day plant?

Bajra
Soyabean
Tobacco
Wheat

3.Life cycle of Ulothrix is shown in the diagram. The correct ploidy levels at the four stages A, B, C and D are :

A : n, B : n, C : 2n, D : n
A : n , B : n, C : 2n, D : 2n
A : 2n, B : n, C : 2n, D : n
A : n, B : n, C : n, D : n

4.Connecting link between glycolysis and Krebs cycle is/before entering Krebs cycle pyruvate is changed to

oxaloacetate
phosphoenol pyruvate
pyruvate
acetyl CoA

5.Differentiation of shoot is controlled by

high gibberellin : cytokinin ratio
high auxin : cytokinin ratio
high cytokinin : auxin ratio
high gibberellin : auxin ratio

6.Match Column-I with Column-II and select the correct option from the codes given below.

Column-I Column-II
A. Disintegration of nuclear membrane (i) Anaphase
B. Appearance of nucleolus (ii) Prophase
C. Division of centromere (iii) Telophase
D. Replication of DNA (iv) S-phase

A-(ii), B-(iii), C-(i), D-(iv)
A-(ii), B-(iii), C-(iv), D-(i)
A-(iii), B-(ii), C-(i), D-(iv)
A-(iii), B-(ii), C-(iv), D-(i)

7.The enzyme used for joining two DNA fragments is called:

ligase
restriction endonuclease
DNA polymerase
gyrase

8.Thorn is a modification of

stem
leaf
stipule
root

9.Dry indehiscent single-seeded fruit formed from bicarpellary syncarpous inferior ovary is

Caryopsis
Cypsela
Berry
Cremocarp

10.DDT residues are rapidly passed through food chain causing biomagnification because DDT is

moderately toxic
non-toxic to aquatic animals
water soluble
lipo soluble

11.Deep black soil is productive due to high proportion of

sand and zinc
gravel and calcium
clay and humus
silt and earthworm

12.The diagram below is a model demonstrating the mass flow hypothesis of translocation.

What are the structures represented by W, X, Y and Z and what is the direction of flow of solution along W ?

phloem xylem roots leaves direction of flow along W
(a) W X Y Z from Z to Y
(b) W X Z Y from Y to Z
(c) X W Z Y from Z to Y
(d) X W Z Y from Y to Z

(a)
(b)
(c)
(d)

13.Female gametophyte of angiosperms is represented by

Ovule
Megaspore mother cell
Embryo sac
Nucellus

14.Given below are the diagrammatic representation of position of floral parts on thalamus, condition of ovary and example. Find the correctly matched combination?

Position of floral parts on thalamus Condition Example with ovary
(a) G Cucumber
(b) G– Brinjal
(c) G Plum
(d) G Rose

(a)
(b)
(c)
(d)

15.Today, concentration of green house gases is high because of

Use of refrigerator
Increased combustion of oil and coal
Deforestation
All the above

16.Cross between AaBB and aaBB will form

1 AaBB : 1aaBB
All AaBB
3 AaBB : 1 aaBB
1 AaBB : 3 aaBB

17.Which of the following is the most stable ecosystem?

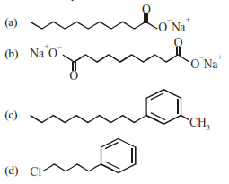
Forest
Desert
Mountain
Ocean

18.Parthenocarpic tomato fruits can be produced by

treating the plants with low concentrations of gibberellic acid and auxins
raising the plants from vernalized seeds
treating the plants with phenylmercuric acetate
removing androecium of flowers before pollen grains are released

19.A gene pair hides the effect of another gene.The phenomenon is

epistasis
dominance
mutation
None of the above

20.What would happen if in a gene encoding a polypeptide of 50 amino acids, 25th codon (UAU) is mutated to UAA?

A polypeptide of 24 amino acids will be formed.
Two polypeptides of 24 and 25 amino acids will be formed
A polypeptide of 49 amino acids will be formed
A polypeptide of 25 amino acids will be formed

21.The rate at which light energy is converted to the chemical energy of organic molecules in the ecosystem’s is

net primary productivity
gross primary productivity
net secondary productivity
gross secondary productivity

22.Consider the following statements concerning food chains :
(i) Removal of 80% tigers from an area resulted in greatly increased growth of vegetation
(ii) Removal of most of the carnivores resulted in an increased population of deers
(iii) The length of food chains is generally limited to 3-4 trophic levels due to energy loss
(iv) The length of food chains may vary from 2 to 8 trophic levels
Which two of the above statements are correct?

(ii) and (iii)
(iii) and (iv)
(i) and (iv)
(i) and (ii)

23.Cabbage is a biennial plant which produces flowers in second year of growth. In an attempt to make it flower in a single year, four potted plants (I, II, III and IV) of cabbage were subjected to different temperatures for several days as given in the table.

Potted plant Temperature
I 5°C
II 20°C
III 30°C
IV 25°C

Which potted plant will show flowering?

I
II
III
IV

24.Binomial nomenclature was introduced by

Carolus Linnaeus
Charles Darwin
Bentham and Hooker
Aristotle

25.Pteridophytes differ from mosses/bryophytes in possessing

independent gametophyte
well developed vascular system
archegonia structure
flagellate spermatozoids

26.It is important that certain free ribosomes bind to the outer surface of the endoplasmic reticulum (ER) in order to complete their protein synthesis because

The ER membrane will break down without the presence of numerous ribosomes.
It allows for the synthesis of certain proteins to be completed in the cytosol.
It prevents the possibility that the synthesis of certain proteins, such as lysosomal hydrolases, would go to completion in the cytoplasm
Mitochondrial ribosomes must transcribe proteins encoded for by mitochondrial DNA in this manner.

27.. Mycorrhiza is

a symbiotic association of plant roots and certain fungi.
an association of algae with fungi.
a fungus parasitising root system of higher plants.
an association of Rhizobium with the roots of leguminous plants.

28.Laminaria (kelp) and Fucus (rock weed) are the examples of

red algae
brown algae
green algae
golden brown algae

29.The outer layer of vacuole is called

cell wall
tonoplast
plasmalayer
leucoplast

30.A narrow layer of thin walled cells found between phloem/bark and wood of a dicot is

cork cambium
vascular cambium
endodermis
pericycle

31.Which of the following statements is true?

Vessels are multicellular with narrow lumen.
Tracheids are multicellular with narrow lumen.
Vessels are unicellular with wide lumen.
Tracheids are unicellular with wide lumen.

32.The linking of antibiotic resistance gene with the plasmid vector became possible with

DNA ligase
Endonucleases
DNA polymerase
Exonucleases

33.Which one of the following is not included under in-situ conservation ?

Botanical garden
Biosphere reserve
National park
Sanctuary

34.Monascus purpureus is a yeast used commercially in the production of :

ethanol
streptokinase for removing clots from the blood vessels.
Citric acid
blood cholesterol lowering statins

35.Gel electrophoresis is used for

cutting of DNA into fragments
separation of DNA fragments according to their size
construction of recombinant DNA by joining with cloning vectors
isolation of DNA molecule

BOTANY

Section-B

36.DNA or RNA segment tagged with a radioactive molecule is called

Vector
Probe
Clone
Plasmid

37.Which of the following is considered a hot-spot of biodiversity in India ?

Indo-Gangetic Plain
Eastern Ghats
Aravalli Hills
Western Ghats

38.Which of these organisms are protected by people of 'Bishnoi' community of Rajasthan?

Prosopis cineraria
Black buck
Bhojpatra
Both (a) and (b).

39.The movement of mineral ions into plant root cells as a result of diffusion is called

osmosis
active absorption
passive absorption
endocytosis

40.The rate of transpiration in plants is dependent upon

temperature and soil
light and temperature
wind, temperature and light
light, temperature, atmospheric humidity and wind

41.Stomata open and close due to

circadian rhythm
genetic clock
pressure of gases inside the leaves
turgor pressure of guard cells

42.Match Column-I with Column-II and select the correct answer from the codes given below.

Column-I Column-II
A. Trichoderma (i) Nitrification
B. Streptomyces (ii) Biocontrol agent
C. Nitrosomonas (iii) Lactic acid
D. Lactobacillus (iv) Source of antibiotic

A-(ii), B-(iii), C-(iv), D-(i)
A-(ii), B-(iv), C-(i), D-(iii)
A-(iii), B-(i), C-(ii), D-(iv)
A-(iv), B-(ii), C-(i), D-(iii)

43.The term ‘keel’ is used for special type of

sepals
petals
stamens
carpels

44.Chemiosmotic hypothesis given by Peter Mitchell proposes the mechanism of

synthesis of ATP
synthesis of FADH$_2$
synthesis of NADH
synthesis of NADPH

45.The given diagram shows microsporangium of a mature anther. Identify A, B and C.


A-Middle layer, B-Endothecium, C- Tapetum
A-Endothecium, B-Tapetum, C-Middle layer
A-Endothecium, B-Middle layer, C- Tapetum
A-Tapetum, B-Middle layer, C-Endothecium

46.Velamen is a specialized tissue found in

Aerial roots of Orchids
Succulent leaves
Pneumatophores
Stilt roots

47.Root cambium is derived from

Primary meristem
Secondary meristem
Intercalary meristem
Apical meristem

48.The shade of a Tree is cooler than the shade of a roof due to

Transpiration
Guttation
Photosynthesis
Green leaves

49.Crop rotation is used by farmers to increase

Nitrogenous content of soil
Organic content of soil
Soil fertility
All of these

50.The limiting factor in nitrification of soil is

Soil nature(pH)
Light
Temperature
Air

ZOOLOGY

Section-A

51.Which of the following changes occur in diaphragm and intercostal muscles when expiration of air takes place?

External intercostal when muscles relax and diaphragm contracts
External intercostal muscles contract and diaphragm relaxes
External intercostal muscles and diaphragm relax
External intercostal muscles and diaphragm contract

52.Which ion is essential for muscle contraction?

$Na^+$
$K^+$
$Ca^{2+}$
$Cl^-$

53.Which one of the following organs in the human body is most affected due to shortage of oxygen?

Intestine
Skin
Kidney
Brain

54.A cricket player is fast chasing a ball in the field. Which one of the following groups of bones is directly contributing in this movement?

Femur, malleus, tibia, metatarsals
Pelvis, ulna, patella, tarsals
Sternum, femur, tibia, fibula
Tarsals, femur, metatarsals, tibia

55.Choose the correct names of the different bacteria according to their shapes.


A – Cocci, B – Bacilli, C – Spirilla, D – Vibrio
A – Bacilli, B – Cocci, C – Spirilla, D – Vibrio
A – Spirilla, B – Bacilli, C – Cocci, D – Vibrio
A – Spirilla, B – Vibrio, C – Cocci, D – Bacilli

56.Match the source gland with respective hormone as well as the function correctly.

Source gland Hormone Function
(a) Anterior pituitary Oxytocin Contraction of uterus muscles during child birth
(b) Posterior pituitary Vasopressin Stimulates reabsorption of water in the distal tubules in the nephron
(c) Corpus luteum Estrogen Supports pregnancy
(d) Thyroid Thyroxine Regulates blood calcium level

(a)
(b)
(c)
(d)

57.In the chemistry of vision in mammals, the photosensitive substance is called

sclerotin
retinol
rhodopsin
melanin

58.Vaccine against polio viruses is an example of

auto-immunization
passive immunization
active immunization
simple immunization

59.Egg is liberated from ovary in

secondary oocyte stage
primary oocyte stage
oogonial stage
mature ovum stage

60.Animals that can tolerate a narrow range of salinity are

stenohaline
euryhaline
anadromous
catadromous

61.The most important component of the oral contraceptive pills is

Progesterone
Growth hormone
Thyroxine
Luteinizing hormone

62.The following graph of relative concentrations of the four hormones present in the blood plasma of a woman during her menstrual cycle. Identify the hormones.

A B C D
(a) FSH Progesterone LH Oestrogen
(b) LH Progesterone FSH Oestrogen
(c) FSH Oestrogen LH Progesterone
(d) LH Oestrogen FSH Progesterone

(a)
(b)
(c)
(d)

63.Reproductive health in society can be improved by –
(i) Introduction of sex education in schools.
(ii) Increased medical assistance.
(iii) Awareness about contraception and STDs.
(iv) Equal opportunities to male and female child.
(v) Ban on aminocentesis.
(vi) Encouraging myths and misconceptions.

All of these
(i), (ii), (iv) & (vi)
(i), (ii), (iii), (iv) & (v)
(ii) and (v)

64.Foetal ejection reflex in human female is induced by

release oxytocin from pituitary
fully developed foetus and placenta
differentiation of mammary glands
pressure exerted by amniotic fluid

65.Natality is the characteristic of a population which means

the total number of individuals present per unit area at a given time
the increase in number of individuals in a population under given environmental conditions
loss of individuals due to death in a population under given environmental conditions
the movement of individuals into and out of population

66.In human female the blastocyst

Forms placenta even before implantation
Gets implanted into uterus 3 days after ovulation
Gets nutrition from uterine endometrial secretion only after implantation
Gets implanted in endometrium by the trophoblast cells

67.Choose the wrong statement regarding urine formation

Filtration is non-selective process performed by glomerulus
The glomerular capillary blood pressure causes filtration of blood through three layers
GFR in a healthy individual is approximately 125 ml/min
The ascending limb of the Henle's loop is permeable to water but allows transport of electrolytes actively or passively

68.Which one of the following is an exotic Indian fish ?

Catla catla
Heteropneustes fossilis
Cyprinus carpio
Labeo rohita

69.Which of the following primate is the closest relative of humans?

Rhesus monkey
Orangutan
Gorilla
Gibbon

70.Adaptive radiation refers to

evolution of different species from a common ancestor
migration of members of a species to different geographical areas
power of adaptation in an individual to a variety of environments
adaptations due to geographical isolation.

71.What was the most significant trend in evolution of modern man (Homo sapiens) from his ancestors ?

Upright posture
Shortening of jaws
Binocular vision
Increasing brain capacity

72.Which of the following is a viral disease of poultry birds?

Anthrax
Ranikhet
Coccidiosis
None of these

73.Select the incorrect statement from the following.

Apiculture provides generating additional income industry for the farmers.
Bee keeping is labour intensive process.
Bee venom is used to cure certain diseases like gout and arthritis.
Honey is used as laxative, antiseptic and sedative.

74.Classification of Porifera is based on

branching
spicules
reproduction
symmetry

75.The kind of epithelium which forms the inner walls of blood vessels is

cuboidal epithelium
columnar epithelium
ciliated columnar epithelium
squamous epithelium

76.Myoglobin is present in

all muscle fibres
white muscle fibres only
red muscle fibres only
both white and red muscle fibres

77.Mast cells are associated with

exocrine glands
endocrine glands
areolar connective tissue
neural tissue

78.Which of the following is incorrect match of animal group/life style/structure/function?

Animal group Lifestyle Structure/functions
(a) Sponges Sessile filter feeders Amoebocytes/ carry food and wastes
Spicules/support and protection
spongin/support
(b) Cnidarians Free floating or attached Gastrovascular cavity/digestion
Cnidocytes/protection and food getting
(c) Flatworms Free living or parasite Flame cells/excretion
Tegument/ protection
(d) Molluscs Terrestrial, marine, fresh water inhabitants Radula/feeding
mantle/motility

(a)
(b)
(c)
(d)

79.Man, in the life cycle of Plasmodium, is

primary host
secondary host
intermediate host
None of these

80.The most active phagocytic white blood cells are

neutrophils and monocytes
neutrophils and eosinophils
lymphocytes and macrophages
eosinophils and lymphocytes

81.Human insulin is being commercially produced from a transgenic species of

Escherichia
Mycobacterium
Rhizobium
Saccharomyces

82.Obstacle to large scale transplantation of organs is

insufficiency of organ donors
immunological rejection of foreign bodies
religious or ethnic considerations
lack of effective surgical techniques

83.Which one of the following is an Indian medicinal plant ?

Saccharum officinarum
Rauwolfia serpentina
Oryza sativa
Solanum melongena

84.Which of the following bacteria carry out oxygenic photosynthesis by means of a photosynthetic apparatus similar to the eukaryotes?

Purple sulphur bacteria
Green sulphur bacteria
Cyanobacteria
More than one option is correct

85.It is commonly said that ladies are protected from heart attacks in reproductive period i.e., from puberty to menopause because:

Level of HDL is high due to oestrogen production
Level of HDL remains lower during this period
Level of LDL and HDL remain in balance
Level of LDL is high due to oestrogen production

ZOOLOGY

Section-B

86.Dolly sheep was obtained by –

Cloning the udder cell (somatic cell) fused with enucleated oocyte
Cloning of gametes
Tissue culture
None of the above

87.Which of the following forms the basis of DNA finger printing?

The relative proportions of purines and pyrimidines in DNA.
Satellite DNA occurring as highly repeated short DNA segments.
The relative difference in the DNA occurrence in blood, skin and saliva.
The relative amount of DNA in the ridges and grooves of the fingerprints.

88.Which one of the following correctly represents the normal adult human dental formula ?

$\frac{3131}{ 3121}$
$\frac{2133 }{2123}$
$\frac{2123 }{2123}$
$\frac{3133 }{3133}$

89.Toxic substances are detoxified in human body in

kidney
lungs
liver
stomach

90.The function of rennin is

vasodilation
reduce blood pressure
degradation of angiotensinogen
None of the above

91.Heart is covered by

Peritoneum
Pleural membrane
Pericardium
Visceral membrane

92.Which of the following is incorrect?

Iodine is needed for thyroxine formation.
Calcium regulates the excitibility of nerve fibres.
Potassium plays an important role in the regulation of acid base balance in cell.
Phosphorus helps to maintain the osmotic pressure of the body fluids.

93.Diagram represents one cardiac cycle lasting 0.8 s and to the possible answers that follow it.

Which answer describes the events that occur during period X ?

atrial diastole and ventricular systole
atrial diastole and ventricular diastole
atrial systole and ventricular systole
atrial systole and ventricular diastole

94.Diabetes insipidus is a condition in which a per- son is unable to produce sufficient levels of the hormone ADH. The hormone increases the permeability to water of the second (distal) convoluted tubule and collecting duct in the kidney nephrons.
What is produced as a result?

large volumes of concentrated urine
large volumes of dilute urine
small volumes of concentrated urine
small volumes of dilute urine

95.Dark purplish gland lying on the left side of abdomen is called :

liver
spleen
gall bladder
appendix

96.The state, during which the respiratory centre is inhibited, is termed as

Anoxia
Asphyxia
Suffocation
Choking

97.An artificial pacemaker is implanted subcutaneously and connected to the heart in patients

Having 90% blockage of the three main coronary arteries
Having a very high blood pressure
With irregularity in the heart rhythm
suffering from arteriosclerosis

98.Why do we move our hands while walking?

To relieve our tension
To walk faster
To maintain equilibrium against force of gravity
To increase blood circulation

99.A gland called 'Clock of ageing' that gradually reduces and degenerates in ageing is

Thyroid
Thymus
Parathyroid
Pituitary

100.Which of the following is an egg laying mammal?

Kangaroo
Platypus
Penguin
Whale

CHEMISTRY

Section-A

101.Fluorine is more electronegative than either boron or phosphorus. What conclusion can be drawn from the fact that BF$_3$ has no dipole moment but PF$_3$ does ?

BF$_3$ is not spherically symmetrical but PF$_3$ is spherically symmetrical.
BF$_3$ molecule must be linear
The atomic radius of P is larger than that of B
The BF$_3$ molecule must be planar triangular

102.Sulphur dioxide and oxygen were allowed to diffuse through a porous partition. 20 dm$^3$ of SO$_2$ diffuses through the porous partition in 60 seconds. The volume of O$_2$ in dm$^3$ which diffuses under the similar condition in 30 seconds will be (atomic mass of sulphur = 32 u):

7.09
14.1
10.0
28.2

103.
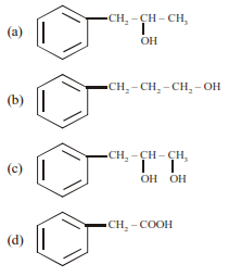
On mercuration-demercuration produces the major product:

(a)
(b)
(c)
(d)

104.In the extraction of Cu, the metal is formed in the bessemer converter due to the reaction :

$Cu_2S+2Cu_2O→6Cu+SO_2$
$Cu_2S→2Cu+S$
$Fe+Cu_2O→2Cu+FeO$
$ 2Cu_2O→4Cu+O_2$

105.An example of electrophilic substitution reaction is

Chlorination of methane
Conversion of methyl chloride to methyl alcohol
Nitration of benzene
Formation of ethylene from ethyl alcohol.

106.Which of the following molecules is most suitable to disperse benzene in water ?


(a)
(b)
(c)
(d)

107.Ozone hole refers to

Increase in concentration of ozone
Hole in ozone layer
Reduction in thickness of ozone layer in troposphere
Reduction in thickness of ozone layer in stratsophere

108.Which of the following does not represent the correct order of the properties indicated

$Ni^{2+}>Cr^{2+}>Fe^{2+}>Mn^{2+}$(size)
$Sc>Ti>Cr>Mn$(Size)
$Mn^{2+}>Ni^{2+}>Co^{2+}>Fe^{2+}$(unpaired electron)
$Cu^{2+}<Ni^{2+}<Co^{2+}<Fe^{2+}$(unpaired electron)

109.Match the columns

Column - I Column - II
(A) $C_2H_6 + Cl_2 $ + UV light $→C_2H_5Cl$ (p) Finkelstein reaction
(B) $C_6H_5NH_2+NaNO_2+HCl/Cu_2Cl_2$ + 273-278K $→C_2H_5Cl$ (q) Free radical substitution
(C) $CH_3Cl + NaI$ $→CH_3I+NaCl$ (r) Swarts reaction
(D) $CH_3-Br+AgF$ $→CH_3F+AgBr$ (s) Sandmeyer's reaction

A – (q), B – (s), C – (p), D – (r)
A – (q), B – (r), C – (p), D – (s)
A – (r), B – (p), C – (s), D – (q)
A – (s), B – (r), C – (p), D – (q)

110.The electrons, identified by quantum numbers n and l
(i) n = 4, l = 1
(ii) n = 4, l = 0
(iii) n = 3, l = 2
(iv) n = 3, l = 1
can be placed in order of increasing energy, from the lowest to highest, as

(iv) < (ii) < (iii) < (i)
(ii) < (iv) < (i) < (iii)
(i) < (iii) < (ii) < (iv)
(iii) < (i) < (iv) < (ii)

111.In an adiabatic process, no transfer of heat takes place between system and surroundings. Choose the correct option for free expansion of an ideal gas under adiabatic condition from the following.

q = 0, $∆T ≠ 0$, w = 0
q ≠ 0, $∆T = 0$, w = 0
q = 0, $∆T = 0$, w = 0
q = 0, $∆T < 0$, w ≠ 0

112.In which of the following cases, the stability of two oxidation states is correctly represented

$Ti^{3+}>Ti^{4+}$
$Mn^{2+}>Mn^{3+}$
$Fe^{2+}>Fe^{3+}$
$Cu^+>Cu^{2+}$

113.Which is not the disproportionation reaction ?

$3H_3PO_2→2H_3PO_2+PH_3$
$HCHO+OH^-→HCOO^-+CH_3OH$
$NH_4NO_3→N_2O+2H_2O$
$3Cl_2+6OH^-→5Cl^-+ClO_3^-+3H_2O$

114.The major organic product in the reaction, $CH_3-O-CH(CH_3)_2$ + HI → Product is

$ICH_2-O-CH(CH_3)_2$
$CH_3-O-CI(CH_3)_2$
$CH_3I +HO-CH(CH_3)_2$
$CH_3OH +ICH(CH_3)_2$

115.The rate constant of a zero order reaction is 2.0 × $10^{2-}$ mol $L^{-1}$ $s^{-1}$. If the concentration of the reactant after 25 seconds is 0.5 M. What is the initial concentration ?

0.5 M
1.25 M
12.5 M
1.0 M

116.The correct order of solubility in water for He, Ne, Ar, Kr, Xe is

He > Ne > Ar > Kr > Xe
Xe > Kr > Ar > Ne > He
Ne > Ar > Kr > He > Xe
Ar > Ne > He > Kr > Xe

117.The de Broglie wavelength of a car of mass 1000 kg and velocity 36 km/hr is :

6.626 × 10$^{-34}$ m
6.626 × 10$^{-38}$ m
6.626 × 10$^{-31}$ m
6.626 × 10$^{-30}$ m

118.The correct IUPAC name for

5-methyl -4-(1'-2'-demethylpropyl) heptane
3-methyl-4-(1',2'-dimethylpropyl) heptane
2,3,5-trimethyl-4-propylheptane
4-propyl-2,3,5-trimethylpeptane

119.Which of the following shows iso-structural species?

$NH_4^+$ and $NH_2^-$
$CH_3^-$ and $CH_3^+$
$SO_4^{2-},PO_4^{3-}$ and $[BF_4]^-$
$NH_4^+$ and $NH_3$

120.When dihydroxyacetone reacts with HIO$_4$, the product is/are :

HCHO
HCOOH
HCHO and HCOOH
HCHO and CO

121.Consider the reactions
(A) $H_2O_2$ + 2HI $→$ $I_2$ + $2H_2O$
(B) HOCl + $H_2O_2$ $→$ $H_3O^+$ + $Cl^-$ + $O_2$ Which of the following statements is correct about $H_2O_2$ with reference to these reactions? Hydrogen peroxide is ______ .

an oxidising agent in both (A) and (B)
an oxidising agent in (A) and reducing agent in (B)
a reducing agent in (A) and oxidising agent in (B)
a reducing agent in both (A) and (B)

122.A certain compound (X) when treated with copper sulphate solution yields a brown precipitate. On adding hypo solution, the precipitate turns white. The compound is

$K_2CO_3$
KI
KBr
$K_3PO_4$

123.Consider the following reactions:
$H^+_{(aq)}$ + $OH^-_{(aq)}$ $→$ $H_2O_{(l)}$, $∆$H = -$X_1$ kJ/mol
$H_{2(g)}$ + $½O_{2(g)}$ $∆$ $H_2O_{(l)}$, $∆$H = -$X_2$ kJ/mol
$CO_{2(g)}$ + $H_{2(g)}$ $∆$ $CO_{(g)}$ + $H_2O_{(l)}$, $∆$H = -$X_3$ kJ/mol
$C_2H_{2(g)}$ + $\frac{5}{2}O_{2(g)}$ $∆$ $2CO_{2(g)}$ + $H_2O_{(l)}$, $∆$H = +$4X_4$ kJ/mol
Enthalpy of formation of $H_2O_{(l)}$ is

+$X_3$ kJ/mol
-$X_4$ kJ/mol
+$X_1$ kJ/mol
-$X_2$ kJ/mol

124.Which of the following possesses a sp-carbon in its structure ?

$CH_2=CCl-CH=CH_2$
$CCl_2=CCl_2$
$CH_2=C=CH_2$
$CH_2=CH-CH=CH_2$

125.A balloon has maximum capacity of 20 L. At one atmospheric pressure 10 L of air is filled in the balloon. It will burst when pressure is (assuming isothermal condition)

$>$ 0.5 atm
$<$ 0.5 atm
= 0.5 atm
$≥$ 0.5 atm

126.Which one of the following complexes will have four different isomers ?

$[Co(en)_2Cl_2]Cl$
$[Co(en)(NH_3)Cl_2]Cl$
$[Co(PPh_3)_2Cl_2]Cl$
$[Co(en)_3]Cl_3$

127.Solubility product of a salt AB is $1 × 10^{-8}$ in a solution in which the concentration of $A^+$ ions is $10^{-3}$ M. The salt will precipitate when the concentration of B$^-$ ions is kept

between 10$^{-8}$ M to 10$^{-7}$M
between 10$^{-7}$ M to 10$^{-8}$ M
$>$ 10$^{-5}$ M
$<$ 10$^{-8}$ M

128.Sucrose in water is dextro-rotatory, $[α]_D $ = + 66.4º. When boiled with dilute HCl, the solution becomes leavo-rotatory, $ [α]_D$ = –20º. In this process the sucrose molecule breaks into

L-glucose + D-fructose
L-glucose + L-fructose
D-glucose + D-fructose
D-glucose + L-fructose

129.Select correct statement(s).

Cyanamide ion $(CN_2)^{2-}$ is isoelectronic with $CO_2$ and has the same linear structure
$Mg_2C_3$ reacts with water to form propyne
$CaCl_2$ has NaCl type lattice
All of the above

130.Which of the following statement is not true about secondary structure of protein ?

The alpha helix, beta pleated sheet and beta turns are examples of secondary structure of protein.
The ability of peptide bonds to form intramolecular hydrogen bonds is important to secondary structure.
The steric influence of amino acid residues is important to secondary structure.
The hydrophilic/ hydrophobic character of amino acid residues is important to secondary structure.

131.Vapour pressure of benzene at 30°C is 121.8 mm. When 15 g of a non volatile solute is dissolved in 250 g of benzene its vapour pressure decreased to 120.2 mm. The molecular weight of the solute (Mo. wt. of solvent = 78)

356.2
456.8
530.1
656.7

132.In nitrogen family, the H-M-H bond angle in the hydrides gradually becomes closer to 90º on going from N to Sb. This shows that gradually

The basic strength of the hydrides increases
Almost pure p-orbitals are used for M-H bonding
The bond energies of M-H bonds increase
The bond pairs of electrons become nearer to the central atom

133.For reaction aP $→$ xP , when [A] = 2.2 mM, the rate was found to be 2.4 mMs$^{-1}$. On reducing concentration of A to half, the rate changes to 0.6 mMs$^{-1}$. The order of reaction with respect to A is :

1.5
2.0
2.5
3.0

134.The tendency of BF$_3$, BCl$_3$ and BBr$_3$ to behave as Lewis acid decreases in the sequence:

BCl$_3$ > BF$_3$ > BBr$_3$
BBr$_3$ > BCl$_3$ > BF$_3$
BBr$_3$ > BF$_3$ > BCl$_3$
BF$_3$ > BCl$_3$ > BBr$_3$

135.If ‘a’ stands for the edge length of the cubic systems : simple cubic, body centred cubic and face centred cubic, then the ratio of radii of the spheres in these systems will be respectively,

$½a$, $\frac{√3}{4}a$, $\frac{1}{2√2}a$
$½a$, $√3a$, $\frac{1}{√2}a$
$½a$, $\frac{√3}{2}a$, $\frac{√3}{2 }a$
$1a$, $√3a$, $√2a$

CHEMISTRY

Section-B

136.Which of the following is correct order of acidity?

$HCOOH > CH_3COOH > ClCH_2COOH > C_2H_5COOH$
$ ClCH_2COOH > HCOOH > CH_3COOH > C_2H_5COOH$
$CH_3COOH > HCOOH > ClCH_2COOH > C_2H_5COOH$
$C_2H_5COOH > CH_3COOH > HCOOH > ClCH_2COOH$

137.Penicillin is :

analgesic
antipyretic
antimalarial
antibiotic

138.Decomposition of $H_2O_2$ follows a first order reaction. In fifty minutes the concentration of $H_2O_2$ decreases from 0.5 to 0.125 M in one such decomposition. When the concentration of $H_2O_2$ reaches 0.05 M, the rate of formation of $O_2$ will be:

2.66 L min$^{-1}$ at STP
1.34 × 10$^{-2}$ mol min$^{-1}$
6.96 × 10$^{-2}$ mol min$^{-1}$
6.93 × 10$^{-4}$ mol min$^{-1}$

139.Which of the following reactions can produce aniline as main product?

$C_6H_5NO_2$ + Zn/KOH
$C_6H_5NO_2$ + $Zn/NH_4Cl$
$C_6H_5NO_2$ + $LiAlH_4$
$C_6H_5NO_2$ + Zn/HCl

140.What is the standard reduction potential (E°) for
$Fe^{3+}$ $→$ Fe ? Given that :
$Fe^{2+}+2e^-$ $→$ Fe; $E^0_{Fe^{2+}/Fe}$ = -0.47V
$Fe^{3+}+e^-$ $→$ $Fe^{2+}$; $E^0_{Fe^{3+}/Fe^{2+}}$ = +0.77V

– 0.057 V
+ 0.057 V
+ 0.30 V
– 0.30 V

141.Which does not exist ?

$[SiCl_6]^{2-}$
$[GeF_6]^{2-}$
$[CCl_6]^{2-}$
$[SnCl_6]^{2-}$

142.In which case, van’t Hoff factor i remains unchanged ?

$PtCl_4$ reacts with aq. KCl
aq.$ZnCl_2$ reacts with aq.$NH_3$
aq.$FeCl_3$ reacts with aq.$K_4[Fe(CN)]_6$
$KMnO_4$ reduced to $MnO_2$ in alkaline medium

143.The unit of equivalent conductivity is

S cm$^{2-}$
ohm cm$^2$ (g equivalent)
ohm cm
ohm$^{-1}$ cm$^2$ (g equivalent)$^{-1}$

144.Perlon is

Terylene
Rubber
Nylon – 6
Polyester

145.Tertiary nitro compounds do not tautomerise because

there is no double bond
there is no $α$-hydrogen
oxygen is more electronegative than hydrogen
all of the above

146.Lithium forms body centered cubic structure. The length of the side of its unit cell is 351 pm. Atomic radius of the lithium will be:

75 pm
300 pm
240 pm
152 pm

147.Dissolving 120g of urea (mol.wt.60) in 1000g of water gave a solution of density 1.15g/mL. The molarity of the solution is

1.78 M
2.00 M
2.05 M
2.22 M

148.An increase in equivalent conductance of a strong electrolyte with dilution s mainly due to

increase in ionic mobility of ions
100% ionisation of electrolyte at normal dilution
increase in both i.e. number of ions and ionic mobility of ions
increase in number of ions

149.An aerosol is a:

dispersion of a solid or liquid in a gas
dispersion of a solid in a liquid
dispersion of a liquid in a liquid
solid solution

150.Regular use of which of the following fertilizers increases the acidity of soil?

Ammonium sulpahte
Potassium nitrate
Urea
Superphosphate of lime

PHYSICS

Section-A

151.Force F is given in terms of time t and distance x by F = A sin Ct + B cos Dx. Then, dimensions of $\frac{A}{B}$ and $\frac{C}{D}$ are

$[M^0L^0T^0],[M^0L^0T^{-1}]$
$[MLT^{-2}], [M^0L^{-1}T^0]$
$[M^0L^0T^0], [M^0LT^{-1}]$
$[M^0L^1T^{-1}], [M^0L^0T^0]$

152.A particle is dropped from rest from a large height.Assume g to be constant throughout the motion. The time taken by it to fall through successive distances of 1 m each will be

all equal, being equal to $√(2/g)$ second
in the ratio of the square roots of the integers 1, 2, 3, .....
in the ratio of the difference in the square roots of the integers, i.e.,$√1$, ($√2$-$√1$), ($√3$-$√2$), ($√4$-$√3$)
in the ratio of the reciprocals of the square roots of the integers, i.e.,1/$√1$, 1/$√2$, 1/$√3$,....

153.A particle undergoes simple harmonic motion having time period T. The time taken in 3/8th oscillation is

$\frac{3}{8}$T
$\frac{5}{8}$T
$\frac{5}{12}$T
$\frac{7}{12}$T

154.When current in a coil changes from 5 A to 2 A in 0.1 s, average voltage of 50 V is produced. The self - inductance of the coil is :

6 H
0.67 H
3 H
1.67 H

155.The table given below represents the truth table for which of the following combinations of logic gates?


(a)
(b)
(c)
None of these

156.The work function of aluminium is 4.2 eV. If two photons each of energy 3.5 eV strike an electron of aluminium, then emission of electron will

depend upon the density of the surface
possible
not possible
None of these

157.A doubly ionised Li atom is excited from its ground state(n = 1) to n = 3 state. The wavelengths of the spectral lines are given by $λ_{32}$, $λ_{31}$ and $λ_{21}$ . The ratio $\frac{λ_{32}}{λ_{31}}$ and $\frac{λ_{21}}{λ_{31}}$ are, respectively

8.1, 0.67
8.1, 1.2
6.4, 1.2
6.4, 0.67

158.Two wires A and B of the same material, having radii in the ratio 1 : 2 and carry currents in the ratio 4 : 1. The ratio of drift speed of electrons in A and B is

16 : 1
1 : 16
1 : 4
4 : 1

159.A stone is thrown with a velocity u making an angle q with the horizontal. The horizontal distance covered by its fall to ground is maximum when the angle q is equal to

$0^0$
$30^0$
$45^0$
$90^0$

160.A 25 cm long solenoid has radius 2 cm and 500 total number of turns. It carries a current of 15A. If it is equivalent to a magnet of the same size and magnetization (magnetic moment/ volume), then the modulus of magnetization is :

30000$π$Am$^{-1}$
3$π$Am$^{-1}$
30000 Am$^{-1}$
300 Am$^{-1}$

161.ABC is an equilateral triangle. Charges +q are placed at each corner as shown in fig. The electric intensity at centre O will be


(a)
(b)
(c)
(d)

162.The figure shows the path of a positively charged particle 1 through a rectangular region of uniform electric field as shown in the figure. What is the direction of electric field and the direction of particles 2, 3 and 4 ?


Top, down, top, down
Top, down, down, top
Down, top, top, down
Down; top, down, down

163.A circular disc A of radius r is made from an iron plate of thickness t and another circular disc B of radius 4r is made from an iron plate of thickness t/4. The relation between the moments of inertia $I_A$ and $I_B$ is

$I_A$ > $I_B$
$I_A$ = $I_B$
$I_A$ < $I_B$
depends on the actual value of t and r

164.Einstein’s work on photoelectric effect provided support for the equation

E = h$ν$
E = mc$^2$
E = $\frac{-Rhc}{n^2}$
K.E. = $½mv^2$

165.A metallic bar is heated from 0ºC to 100ºC. The coeficient of linear expansion is 10$^{-5}$ K$^{-1}$. What will be the percentage increase in length?

0.01%
0.1%
1%
10%

166.A rough vertical board has an acceleration a along the horizontal so that a block of mass M pressing against it does not fall. The coefficient of friction between block and the board is


(a)
(b)
(c)
(d)

167.What should be the minimum value of refractive index of the material of the prism for the reflections to take place as shown in the figure?


1.7
1.4
1.2
2.7

168.Plates of area A are arranged as shown. The distance between each plate is d, the net capacitance is


$\frac{ε_0A}{d}$
$\frac{7ε_0A}{d}$
$\frac{6ε_0A}{d}$
$\frac{5ε_0A}{d}$

169.A plane wave of wavelength 6250 Å is incident normally on a slit of width 2 × 10$^{-2}$ cm. The width of the principal maximum on a screen distant 50 cm will be

312.5 × 10$^{-3}$ cm
312.5 × 10$^{-3}$ m
312.5 × 10$^{-2}$ m
312 m

170.The heat radiated per unit area in 1 hour by a furnace whose temperature is 3000 K is ($σ$ = 5.7 × 10$^{-8}$ Wm$^{-2}$K$^{-4}$

1.7 × 10$^{10}$ J
1.1 × 10$^{12}$ J
2.8 × 10$^8$ J
4.6 × 10$^6$ J

171.A gun fires two bullets at $60^0$ and $30^0$ with horizontal. The bullets strike at some horizontal distance. The ratio of maximum height for the two bullets is in the ratio of

2 : 1
3 : 1
4 : 1
1 : 1

172.A generator has an e.m.f. of 440 Volt and internal resistance of 400 Ohm. Its terminals are connected to a load of 4000 Ohm the voltage across the load is

220 volt
440 volt
200 volt
400 volt

173.Electric field inside a copper wire of length 10 metres, resistance 2 ohm connected to a 10 volt battery is

1 Vm$^{-1}$
0.5 Vm$^{-1}$
10 Vm$^{-1}$
5 Vm$^{-1}$

174.A large number of liquid drops each of radius r coalesce to from a single drop of radius R. The energy released in the process is converted into kinetic energy of the big drop so formed. The speed of the big drop is (given, surface tension of liquid T, density r)

$√[\frac{T}{ρ}(\frac{1}{r}-\frac{1}{R})]$
$√[\frac{2T}{ρ}(\frac{1}{r}-\frac{1}{R})]$
$√[\frac{4T}{ρ}(\frac{1}{r}-\frac{1}{R})]$
$√[\frac{6T}{ρ}(\frac{1}{r}-\frac{1}{R})]$

175.The path difference between the two waves :
$y_1$ = $a_1$ sin($ωt-\frac{2πx}{λ}$) and
$y_2$ = $a_2$ sin($ωt-\frac{2πx}{λ}$ + $φ$) will be

$\frac{2π}{λ}$$φ$
$\frac{2π}{λ}$($φ-\frac{π}{2})$
$\frac{λ}{2π}$$φ$
$\frac{2π}{λ}$($φ+\frac{π}{2})$

176.The diagram shows the energy levels for an electron in a certain atom. Which transition shown represents the emission of a photon with the most energy?


IV
III
II
I

177.During an adiabatic compression, 830 J of work is done on 2 moles of a diatomic ideal gas to reduce its volume by 50%. The change in its temperature is nearly: (R = 8.3 JK$^{-1}$mol$^{-1}$)

40 K
33 K
20 K
14 K

178.A body of mass 10 kg and velocity 10 m/s collides with a stationary body of mass 5 kg. After collision both bodies stick to each other, velocity of the bodies after collision will be

$\frac{3}{10}$ m/s
$\frac{18}{3}$ m/s
$\frac{9}{20}$ m/s
$\frac{20}{3}$ m/s

179.Two particles of mass $m_1$ and $m_2$ ($m_1$>$m_2$) attract each other with a force inversely proportional to the square of the distance between them. If the particles are initially held at rest and then released, the centre of mass will

move towards $m_1$
move towards $m_2$
remain at rest
Nothing can be said

180.Which of the following graphs represent the variation of thermo emf (E) of a thermocouple with temperature q of hot junction (the cold junction being kept at $0^0$C)


(a)
(b)
(c)
(d)

181.The r.m.s. velocity of oxygen molecule at 16$^0$C is 474 m/sec. The r.m.s. velocity in m/s of hydrogen molecule at 127$^0$C is

1603
1896
2230.59
2730

182. When the rms voltages $V_L$, $V_C$ and $V_R$ are measured respectively across the inductor L, the capacitor C and the resistor R in a series LCR circuit connected to an AC source, it is found that the ratio $V_L$:$V_C$:$V_R$ = 1 : 2 : 3. If the rms voltage of the AC sources is 100 V, the $V_R$ is close to:

50 V
70 V
90 V
100 V

183.The oscillating electric and magnetic field vectors of electromagnetic wave are oriented along

the same direction and in phase
the same direction but have a phase difference of 90$^0$
mutually perpendicular directions and are in phase
mutually perpendicular directions but has a phase difference of 90$^0$

184.The gravitational field in a region is given by g = 5N/kgî + 12N/kgĵ. The change in the gravitational potential energy of a particle of mass 1 kg when it is taken from the origin to a point (7 m, – 3 m) is:

71 J
13$√58$J
– 71 J
1 J

185.The counting rate observed from a radioactive source at t = 0 was 1600 counts s$^{-1}$, and t = 8s, it was 100 counts s$^{-1}$ . The counting rate observed as 100 counts s$^{-1}$ at t = 6s will be

250
400
300
200

PHYSICS

Section-B

186.At 0 K which of the following properties of a gas will be zero?

Kinetic energy
Potential energy
Vibrational energy
Density

187.A galvanometer coil has a resistance of 15W and gives full scale deflection for a current of 4 mA. To convert it to an ammeter of range 0 to 6 A

10 m$Ω$ resistance is to be connected in parallel to the galvanometer
10 m$Ω$ resistance is to be connected in series with the galvanometer
0.1 $Ω$ resistance is to be connected in parallel to the galvanometer
0.1 $Ω$ resistance is to be connected in series with the galvanometer

188.A uniform rod of mass m, length l , area of cross- section A has Young’s modulus Y. If it is hanged vertically, elongation under its own weight will be

$\frac{mgl}{2AY}$
$\frac{2mgl}{AY}$
$\frac{mgl}{AY}$
$\frac{mgY}{Al}$

189.The magnifying power of a telescope is 9. When it is adjusted for parallel rays, the distance between the objective and the eye piece is found to be 20 cm. The focal length of lenses are

18 cm, 2 cm
11 cm, 9 cm
10 cm, 10 cm
15 cm, 5 cm

190.If two soap bubbles of different radii are connected by a tube. Then

air flows from the smaller bubble to the bigger
air flows from bigger bubble to the smaller bubble till the sizes are interchanged
air flows from the bigger bubble to the smaller bubble till the sizes become equal
there is no flow of air.

191.In a transistor

both emitter and collector have same length
length of emitter is greater than that of collector
length of collector is greater than that of emitter
any one of emitter and collector can have greater length

192.A brass scale of a barometer gives correct reading at 0°C. $α_{Brass}$ = 0.00002/°C. The barometer reads 75 cm at 27°C. The atmospheric pressure at 0°C is

74.20 cm
74.62 cm
74.92 cm
75.04 cm

193.The total length of a sonometer wire between fixed ends is 110 cm. Two bridges are placed to divide the length of wire in ratio 6 : 3 : 2. The tension in the wir e is 400 N and th e mass per un it length is 0.01 kg/m. What is the minimum common frequency with which three parts can vibrate?

1100 Hz
1000 Hz
166 Hz
100 Hz

194.For the velocity time graph shown in the figure below the distance covered by the body in the last two seconds of its motion is what fraction of the total distance travelled by it in all the seven seconds?


$\frac{1}{2}$
$\frac{1}{4}$
$\frac{2}{3}$
$\frac{1}{3}$

195.An object undergoing SHM takes 0.5 s to travel from one point of zero velocity to the next such point. The distance between those points is 50 cm. The period, frequency and amplitude of the motion is

1s, 1Hz, 25 cm
2s, 1Hz, 50 cm
1s, 2Hz, 25 cm
2s, 2Hz, 50 cm

196.The maximum number of possible interference maxima for slit-separation equal to twice the wavelength in Young's double-slit experiment is

three
five
infinite
zero

197.A circuit has a resistance of 12 ohm and an impedance of 15 ohm. The power factor of the circuit will be

0.4
0.8
0.125
1.25

198.If rotational velocity of a dynamo armature is doubled, then induced e.mf. will become

half
two times
four times
unchanged

199.Demagnetisation of magnets can be done by

rough handling
heating
magnetising in the opposite direction
All the above

200.The conducting wire oflength l is turned in the form of a circular coil and a current i is placed through it. For torque due to magnetic field produced at its centre, to be maximum, the number of turns in the coil will be

1
2
5
any value